首页 科技开发工具 娱乐游玩工具 热门工具   APP 登录/注册 联系/合作
   
 
研究人员深入研究水在 PEM 燃料电池中的作用
质子交换膜燃料电池 (PEMFC) 通过固体电解质膜直接将燃料转化为电能,已成为过去几年最有前途的氢电转化装置之一。

塞维利亚大学能源工程系的一组研究人员与 AICIA(安达卢西亚研究与工业合作协会)进行了三维 CFD 模拟,以分析水对单个直通道 PEMFC 性能的作用在不同的工作温度下。

该研究旨在进一步了解燃料电池内部发生的复杂且紧密耦合的相互作用,将水的生成和运输与局部温度分布和电池性能联系起来,特别强调肋下和通道下的特征。

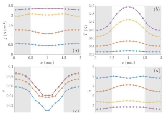
敏感性分析表明,对于他们研究中的工作温度范围 (70–90 Co),工作温度越高,PEMFC 的电气性能越好,只要反应物的相对湿度保持在较高水平价值。即使该装置在高电流密度(j = 2.25 和 2.57 A/cm 2)下运行,水扩散率和电渗阻力的增强也会导致离子电导率的提高。

横截面平均值得出的结论是,尽管水饱和度和膜水合水平有所降低,但蒸发效应并不重要到会降低 PEMFC 在此类操作条件下的性能。另一方面,无量纲形式的温度曲线图表现出一些相似性,这些相似性可能对通过分析表达式或比例定律来表征或设计 PEMFC 感兴趣。

至于氧化剂,据观察,氧气消耗的分布在所有操作温度之间看起来非常相似,最高值在通道下和肋下最低,氧气浓度明显减少负载增加。

尽管进行了详尽的敏感性研究,但研究人员声称,考虑到所涉及过程的多样性和耦合性,将单个变量与 PEMFC 中的其余变量隔离开来并不总是可能的。该研究发表在国际氢能杂志上。
最新文章:
所有文章资讯、展示的文字、图片、数字、视频、音频、其它素材等内容均来自网络媒体,仅供学习参考。内容的知识产权归属原始著作权人所有。如有侵犯您的版权,请联系我们并提供相应证明,本平台将仔细验证并删除相关内容。
工具综合排行榜
TOP 1
双计算器 双计算器
同时用两个计算器,用于价格对比、数字分别计算等
TOP 2
推算几天后的日期 推算几天后的日期
推算从某天开始,增加或减少几天后的日期
TOP 3
随机密码生成 随机密码生成
随机生成安全复杂的密码,自由设置密码长度及复杂度
TOP 4
推算孩子的血型 推算孩子的血型
根据父母的血型推测子女的血型
TOP 5
日期转中文大写 日期转中文大写
把数字日期转成中文大写,是财务或商务合同常用的工具
热门内容:       双计算器       推算孩子的血型       随机密码生成       日期转中文大写       推算几天后的日期       达轻每日一景       高校分数线       高校查询       周公解梦大全
首页 科技开发工具大全
娱乐游玩工具大全
登录/注册
联系我们
  用户咨询/建议
kf@ss3316.com


商务合作/推广
hz@ss3316.com

达轻工具 APP

访问手机版网站
使用本平台必读并同意:任何内容仅供谨慎参考,不构成建议,不保证正确,平台不承担任何责任,同意用户协议隐私政策   
BaiduTrust安全认证签章
© 达轻科技 版权所有 增值电信业务经营许可证 ICP备 沪B2-20050023-3